用 12 号口径霰弹枪玩俄罗斯轮盘。因为霰弹枪感觉更好。欢迎来到地下夜总会,这里的金属栏杆随着被遗忘的鼓机节拍而晃动。与庄家对决,庄家的赔率与你相同。不耍花样。你能在他自己的游戏规则下打败他吗?在全新的加倍或放弃模式中试试你的运气。你能坚持多久?
外文名:Buckshot Roulette
类型:动作、独立、模拟|发售日期:2023年12月28日|开发商:Mike Klubnika|版本:v1.1
别名:恶魔轮盘
配置需求
推荐配置
操作系统: Windows 10 处理器: Intel Core i5 内存: 4 GB RAM 显卡: Relatively modern dedicated graphics card (Vulkan support required) 存储空间: 需要 500 MB 可用空间 附注事项: Vulkan support required
最低配置
操作系统: Windows 10 处理器: Intel Core i3 内存: 2 GB RAM 显卡: Relatively modern dedicated graphics card (Vulkan support required) 存储空间: 需要 500 MB 可用空间 附注事项: Vulkan support required
安装说明
下载游戏解压以后,打开Buckshot Roulette\Buckshot Roulette.exe即可进入游戏,游戏自带了原声OST
恶魔轮盘攻略
在正常模式(不使用厕所的药片)下的第一局空实弹比是2:1且没有任何道具,因此是纯概率游戏。在这种情况下,具有先发优势的己方如何开这第一枪就显得尤为关键。关于这一点,已经有过很多经验总结,这里再从数学角度来论证一下结论的合理性。
如果第一枪射击自己,我们可以做如下的推演:

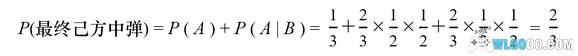
假设事件A:己方中弹;事件B:己方不中弹。
P(A) 和 P(B) 分别表示事件A和B发生的概率;P(A | B) 是条件概率,表示在B发生的前提条件下A发生的概率,在本例中表示第一发射击己方未中弹的前提下第二次射击己方中弹的概率。
根据全概率公式可得
因为导致最后己方中弹所开的第一枪只有打自己或者打对方两种情况,我们上面已经推出了第一枪打自己并最终中弹的所有情况的概率,而实弹不是打中自己便一定会打中对方,所以第一枪打对方最后自己中弹的概率是1/3。
通过上面的分析,我们可以得出结论:
第一枪选择打自己最后实弹打中自己的概率高达2/3,而第一枪打对面最后实弹打中自己的概率仅有1/3。
回到标题,答案已经很明显了。同时我们可以得出一些推论:
①有道具时先用道具。概率的计算比较复杂,实际情况往往是反直觉的;
②没有道具可供使用时,只能依靠概率。大多数情况下,打对面比打自己好,与其让自己承担风险,不如让对面承担风险;如果实弹和空包的比例悬殊,比如2发实弹6发空包,这时可以试一下铤而走险。
赌过弹收益计算:不考虑子弹比,概率对等的情况下,赌空弹打自己过弹,概率扣1电获得负收益,概率获得一个回合,回合拥有基础庄家负收益。获得回合本来无收益的。
实际情况中,根据子弹比,期望收益会有改变,但通常过弹仍然不是好选择,1实4空的情况下,过弹收益为-0.25(纠错,玩家过弹一般收益-0.5)
放大镜:放大镜可以查看当前子弹,T0级别的道具,直接查看子弹来安排各种操作。但是某些时候却不能救你,比如只剩一格电量而还剩两发实弹的时候,手铐能救你、香烟能救你、逆转器能救你、甚至啤酒也能救你,但是放大镜就没办法救你
啤酒:啤酒可以退出当前子弹,T1级别的道具,子弹多的时候直接打大哥是优选,而子弹少的时候,手铐、镜子、手机都能发挥出比啤酒更好的效果,一般只会在子弹还剩三到四发的时候,让啤酒来把局面控制到你可控的地步,其余的时候当你需要喝下啤酒的时候,说明你基本只剩下啤酒了。
手铐:手铐可以让对面无法行动两个回合。或者说跳过对方一个回合,T0级别的道具,直接给对方连开两枪,秒人必备,关键时刻还能救你一命,强无敌。
锯齿刀:锯齿刀可以让当前子弹伤害翻倍,T0级别的道具,虽然硬性要求必须是实弹才能发挥作用,但是秒人的核心就是小刀,其余各个道具都是给小刀做铺垫和辅助。玩家翻车也往往是因为吃到了大哥的带刀子弹。普通模式第三回合也是刀能尽快将大哥打到除颤仪无法充电,而且无尽模式中经常遇到除颤仪只有两格电的对局,上刀直接就能秒掉这局,避免夜长梦多。甚至在作者的废稿里,锯齿刀是那种C形锯,要占桌子的两个格子的位置。
补充一个技巧:当枪内还剩1实1虚而你无法知道顺序时,如果大哥手里有刀,那么宁愿打自已掉一格电。也要避免被大哥用刀打掉两格电
在普通模式通关后,与厕所内使用电脑旁边的药瓶,进入无尽模式(直译为”翻倍或一无所有“)。
在该模式下,每赢3局,可以选择“立刻兑现”(立即上传成绩)或“继续赌博”(赢了翻倍,输了一无所有)。
游戏截图








视频预览
下载地址
恶魔轮盘v1.1免安装中文版 下载
解压密码:yxhjgs.com




